ロボットとか
ロボットとかのブログ
先日DynabookCX47EのHDDを交換しました.
容量は120GB→250GBに倍増.
これで少ない容量に不便を覚えることもなくなりました.
また,ベンチマークを取ってみると次の画像の通りパフォーマンスアップ.

エクスペリエンスインデックスのストレージの項目も5.1から5.6にアップしました.
心なしかレスポンスが向上したような気がします.
今回HDDの引越しに使ったソフトはHDD革命Buckupです.
HDD革命Buckupでイメージバックアップを作成し,新しいHDDと交換後イメージリカバリをかけました.
パーティションの調整にはEASEUS Partition Masterを使用しています.
Windowsd上で動き,GUIでパーティションを簡単に操作できる優れたふりーそふとです.
ちなみに最初はEASEUS Disk Copyを使って複製したのですが,Vistaだと認証が厳しくなっていて,HDDが違うと警告が出て起動できませんでした.
容量は120GB→250GBに倍増.
これで少ない容量に不便を覚えることもなくなりました.
また,ベンチマークを取ってみると次の画像の通りパフォーマンスアップ.

エクスペリエンスインデックスのストレージの項目も5.1から5.6にアップしました.
心なしかレスポンスが向上したような気がします.
今回HDDの引越しに使ったソフトはHDD革命Buckupです.
HDD革命Buckupでイメージバックアップを作成し,新しいHDDと交換後イメージリカバリをかけました.
パーティションの調整にはEASEUS Partition Masterを使用しています.
Windowsd上で動き,GUIでパーティションを簡単に操作できる優れたふりーそふとです.
ちなみに最初はEASEUS Disk Copyを使って複製したのですが,Vistaだと認証が厳しくなっていて,HDDが違うと警告が出て起動できませんでした.
PR
今日はレポートや資料作成で多用しがちなプリントスクリーンについて書くよ。
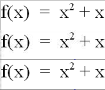
まずは以下の画像(劣化なしのBMP)を見てもらいたい。
比較画像
画像の上段がWordのキャプチャー、中段が普段使っているであろうJpeg、下段は劣化の少ないGIFである。
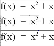
以下が拡大した画像である。
中段のJpegは字の周りが荒れているが、下段のGIFはあまり荒れていない。
比較画像(拡大)
図を見ればわかるとおりJpegよりもGIFのほうが元に近く画質がいい。
画像の保存形式をうまく使い分けることで、作成した画像の見栄えがよくなると思う。
各種フォーマットで保存するときの手順は、基本的にはどのソフトでも「ファイル」→「名前をつけて保存」からフォーマットを選ぶことができる。
簡単に各フォーマットの特徴について
BMP
ドットごとに色情報を記録しているため、画質の劣化なしに保存できる一方で、容量が非常に大きい。
Jpeg
圧縮をかけるため容量を抑えられるが、不可逆なので画質が劣化する。
でも、写真など色の境界があいまいあるいは解像度の高い画像であれば、劣化が目立たないため向いている。
GIF
256色までしか扱えず色数の多い画像には適していないが、その分容量も軽い。
解像度が高い画像よりも小さい画像に向いている。
PNG
フルカラーを扱え画質の劣化も少ない一方で、容量もそれなりに抑えられる。
色の境界がはっきりした画像でも劣化が少ないが、大きすぎる画像だと容量が大きくなりがち。
まとめるとこんな感じ。
ただし、常にとは限らないので参考にとどめつつ、各フォーマットを試してもらいたい。
画質(少色):BMP>PNG>GIF>Jpeg
画質(多色):BMP>PNG>Jpeg>>GIF
画質(低解像度):BMP>PNG>GIF>Jpeg
画質(高解像度):BMP>PNG>GIF>Jpeg
容量(少色):大BMP>Jpeg>PNG>GIF小
容量(多色):大BMP>PNG>Jpeg>GIF小
容量(低解像度):大BMP>Jpeg>PNG>GIF小
容量(高解像度):大BMP>PNG>Jpeg>GIF小
まずは以下の画像(劣化なしのBMP)を見てもらいたい。
比較画像
画像の上段がWordのキャプチャー、中段が普段使っているであろうJpeg、下段は劣化の少ないGIFである。
以下が拡大した画像である。
中段のJpegは字の周りが荒れているが、下段のGIFはあまり荒れていない。
比較画像(拡大)
図を見ればわかるとおりJpegよりもGIFのほうが元に近く画質がいい。
画像の保存形式をうまく使い分けることで、作成した画像の見栄えがよくなると思う。
各種フォーマットで保存するときの手順は、基本的にはどのソフトでも「ファイル」→「名前をつけて保存」からフォーマットを選ぶことができる。
簡単に各フォーマットの特徴について
BMP
ドットごとに色情報を記録しているため、画質の劣化なしに保存できる一方で、容量が非常に大きい。
Jpeg
圧縮をかけるため容量を抑えられるが、不可逆なので画質が劣化する。
でも、写真など色の境界があいまいあるいは解像度の高い画像であれば、劣化が目立たないため向いている。
GIF
256色までしか扱えず色数の多い画像には適していないが、その分容量も軽い。
解像度が高い画像よりも小さい画像に向いている。
PNG
フルカラーを扱え画質の劣化も少ない一方で、容量もそれなりに抑えられる。
色の境界がはっきりした画像でも劣化が少ないが、大きすぎる画像だと容量が大きくなりがち。
まとめるとこんな感じ。
ただし、常にとは限らないので参考にとどめつつ、各フォーマットを試してもらいたい。
画質(少色):BMP>PNG>GIF>Jpeg
画質(多色):BMP>PNG>Jpeg>>GIF
画質(低解像度):BMP>PNG>GIF>Jpeg
画質(高解像度):BMP>PNG>GIF>Jpeg
容量(少色):大BMP>Jpeg>PNG>GIF小
容量(多色):大BMP>PNG>Jpeg>GIF小
容量(低解像度):大BMP>Jpeg>PNG>GIF小
容量(高解像度):大BMP>PNG>Jpeg>GIF小
原則、LinuxはLinux用のアプリしか使えません。
そのためLinuxでWindwos用のアプリを使うことはできないのですが、不可能を可能にできるかもしれない方法があります。
それはWINEです。
WINEはLinuxにWindowsの挙動をさせるプログラム群で、エミュレータの一種といえるでしょう。
すべてのWindowsアプリが動くわけではありませんが、かなり多くのWindwosアプリが動作するといわれています。
WindwosアプリをLinuxでも使ってみたい方は日本語の解説サイトも探せばあるので試してみてはどうでしょうか。
Ubuntuでも導入可能です。
そのためLinuxでWindwos用のアプリを使うことはできないのですが、不可能を可能にできるかもしれない方法があります。
それはWINEです。
WINEはLinuxにWindowsの挙動をさせるプログラム群で、エミュレータの一種といえるでしょう。
すべてのWindowsアプリが動くわけではありませんが、かなり多くのWindwosアプリが動作するといわれています。
WindwosアプリをLinuxでも使ってみたい方は日本語の解説サイトも探せばあるので試してみてはどうでしょうか。
Ubuntuでも導入可能です。
まずはタスクマネージャーを開いて、こちらの動画を見ていただきたい。
Nvidia PureVideo HD 1080p Test:http://www.youtube.com/watch?v=XITHbsUUlYI
この動画は、Nvidiaの動画再生支援機能のデモなのだが、1080pのHD画質だと非常に重い。
東方当方、Core2DuoT7250(2GHz)とオンボードの環境なのだが、CPU使用率は次の画像の通り非常に高い。

ところがこれをVLCプレーヤで再生したところ、CPU使用率が半分程度になった。
この画像ではたまたま下がっているが、平均的には30%台後半といったところ。
これでいて滑らかにコマ落ちなしに再生してくれる。

次はGOMプレーヤ。
CPU使用率こそ押さえられているが、コマ落ちと音飛びがひどく視聴に耐えない。
静止画ではわからないのが残念だ。

また、VLCプレーヤは主観ではあるが、画質も良く感じた。
これからはVLCプレーヤに乗り換えようと思う。
ただ、以前はYoutubeで見た場合、CPU使用率が100%になりコマ落ちがひどかったはずだが、今回は普通に見ることができた。
フラッシュプレーヤがGPUの動画再生に対応したのかとも思ったが、対応しているのはベータ版のVer10.1で、今使っているのは未対応のVer10.0。
となると理由はほかにあるはず。
思い当たるのは先日、YoutubeがHD画質に正式対応したことだ。
おそらく正式対応によりCPUへの負荷が減ったのかもしれない。
Nvidia PureVideo HD 1080p Test:http://www.youtube.com/watch?v=XITHbsUUlYI
この動画は、Nvidiaの動画再生支援機能のデモなのだが、1080pのHD画質だと非常に重い。
ところがこれをVLCプレーヤで再生したところ、CPU使用率が半分程度になった。
この画像ではたまたま下がっているが、平均的には30%台後半といったところ。
これでいて滑らかにコマ落ちなしに再生してくれる。
次はGOMプレーヤ。
CPU使用率こそ押さえられているが、コマ落ちと音飛びがひどく視聴に耐えない。
静止画ではわからないのが残念だ。
また、VLCプレーヤは主観ではあるが、画質も良く感じた。
これからはVLCプレーヤに乗り換えようと思う。
ただ、以前はYoutubeで見た場合、CPU使用率が100%になりコマ落ちがひどかったはずだが、今回は普通に見ることができた。
フラッシュプレーヤがGPUの動画再生に対応したのかとも思ったが、対応しているのはベータ版のVer10.1で、今使っているのは未対応のVer10.0。
となると理由はほかにあるはず。
思い当たるのは先日、YoutubeがHD画質に正式対応したことだ。
おそらく正式対応によりCPUへの負荷が減ったのかもしれない。
プロフィール
| 名前:H238/ながつき |
| このブログについて: |
| ロボットについての勉強などを中心に勝手に書いていきます.あくまで本人のメモなので期待しないように. ちなみにブログデザインは趣味. |
ブログ内検索
[活動101] [活動102] [活動103]
[SH2] [マイコン]
[電子回路]
[プログラム] [VS] [OpenCV]
[知能ロボ]
[プレゼン] [CAD]
カレンダー
| 12 | 2026/01 | 02 |
| S | M | T | W | T | F | S |
|---|---|---|---|---|---|---|
| 1 | 2 | 3 | ||||
| 4 | 5 | 6 | 7 | 8 | 9 | 10 |
| 11 | 12 | 13 | 14 | 15 | 16 | 17 |
| 18 | 19 | 20 | 21 | 22 | 23 | 24 |
| 25 | 26 | 27 | 28 | 29 | 30 | 31 |
カテゴリー
最新CM
[11/13 SLT-A65]
[12/01 siawase]
[05/01 H238]
[05/01 H238]
[05/01 ねこう]
アーカイブ
